2175: 【基础】三角形面积

内存限制:128 MB 时间限制:1.000 S
评测方式:文本比较 命题人:
提交:171 解决:100

题目描述

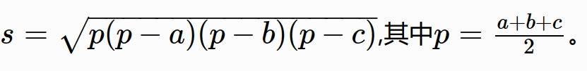
传说古代的叙拉古国王海伦二世发现的公式,利用三角形的三条边长来求取三角形面积。已知△ABC中的三边长分别为a,b,c,求△ABC的面积。

提示:海伦公式


输入

三个浮点数,表示三角形的三条边长。

输出

三角形的面积。(保留3位小数)

样例输入 复制

2.1 3.1 4.1

样例输出 复制

3.179

来源/分类