2129: 【入门】计算并联电阻的阻值
内存限制:128 MB
时间限制:1.000 S
评测方式:文本比较
命题人:
提交:5
解决:5
题目描述
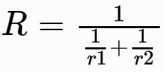
对于阻值为 r1和 r2的电阻,其并联电阻阻值公式计算如下:
入两个电阻阻抗大小,浮点型。输出并联之后的阻抗大小,结果保留小数点后2位。
入两个电阻阻抗大小,浮点型。输出并联之后的阻抗大小,结果保留小数点后2位。 输入
两个电阻阻抗大小,浮点型,以一个空格分开。
输出
并联之后的阻抗大小,结果保留小数点后2位。
样例输入 复制
1 2
样例输出 复制
0.67